Analisi real-world dei disturbi ostruttivi delle vie respiratorie: caratterizzazione, assistenza sanitaria e costi

SILVIA CALABRIA1, GIULIA RONCONI1, LETIZIA DONDI1, ANTONELLA PEDRINI1, CARLO PICCINNI1,
IMMACOLATA ESPOSITO2, GIORGIO WALTER CANONICA3, NELLO MARTINI1

1Fondazione Ricerca e Salute (ReS), Casalecchio di Reno (Bologna); 2Drugs & Health Srl, Roma; 3Humanitas University & Research Hospital-IRCCS, Milano.

Pervenuto il 26 gennaio 2021. Accettato il 9 febbraio 2021.

Riassunto. Introduzione. L’analisi ha definito il burden dei pazienti con asma, broncopneumopatia cronica ostruttiva (BPCO), disturbi misti asma/BPCO e sindromi ostruttive indefinite (SOI) dal punto di vista del Servizio Sanitario Nazionale, sulla base dei dati amministrativi sanitari. Metodi. Nel 2015, a partire dal database ReS il record linkage tra anagrafica, farmaceutica, ospedalizzazioni e prestazioni specialistiche ambulatoriali, ha identificato i pazienti con solo asma, solo BPCO, asma/BPCO e SOI. Dalla data meno recente di individuazione, ciascun assistibile è stato osservato nell’anno precedente e fino a due anni di follow-up (massimo al 31/12/2017). Nell’anno di selezione, in quello precedente e nei due di follow-up è stata effettuata la ricerca di poliposi nasale. Nell’anno di follow-up sono stati valutati i consumi dei farmaci per i disturbi ostruttivi delle vie respiratorie (ATC R03) e concomitanti, il ricorso alla specialistica ambulatoriale e al ricovero ospedaliero. Nei due anni di osservazione sono stati analizzati i costi medi pro capite annui per singolo flusso amministrativo e integrati (somma dei flussi). Risultati. Tra oltre 7 milioni di assistibili nel 2015, sono stati individuati 110.453 pazienti con solo asma (16,6 x1000 ≥12 anni), 229.747 con solo BPCO, 8828 con asma/BPCO (55,5 x1000 e 2,1 x1000 ≥40 anni) e 75.072 con SOI (27,2 x1000 assistibili di 40-65 anni). La poliposi nasale è stata identificata in 753 pazienti con asma, 181 con BPCO, 122 con asma/BPCO. È stato riscontrato un elevato uso di corticosteroidi inalatori (ICS) in monoterapia e nell’associazione fissa ICS/LABA e di medicinali per il sistema cardiovascolare nelle coorti con BPCO e asma/BPCO. La spirometria è stata svolta nel 21,4% della coorte con asma/BPCO, nel 9,2% con asma, nel 8,6% con BPCO e nel 5,8% con SOI. I pazienti con BPCO e asma/BPCO sono stati i più ospedalizzati, soprattutto per cause respiratorie e cardiovascolari, e con degenze medie più lunghe. In media nel primo anno di follow-up, ogni paziente con BPCO o asma/BPCO è costato tre volte quello con asma o SOI (€3508/€3613 vs €942/€1394, rispettivamente). Per tutte le coorti, la farmaceutica (>60% per farmaci concomitanti) e le ospedalizzazioni (>95% per cause non respiratorie) hanno influito di più. Conclusioni. In generale, si è evidenziato un ruolo importante delle complicanze cardiopolmonari e delle comorbilità, che rende ancora più difficile il già scarso controllo dei disturbi ostruttivi delle vie respiratorie, ripercuotendosi sulla sostenibilità non solo economica, ma anche sociale con qualità di vita e produttività insufficienti.

Parole chiave. Big data, consumo risorse sanitarie, costi sanitari, disturbi ostruttivi respiratori, Servizio Sanitario Nazionale.

Real-world analysis of obstructive respiratory tract disorders: characterization, health care and costs.

Summary. Introduction. This analysis has described the burden of patients with asthma, chronic obstructive pulmonary disease (COPD), asthma/COPD mixed conditions or undefined obstructive diseases (UODs), from the Italian National Health System point of view. Methods. In the accrual period (2015), starting from the ReS database, a record linkage among demographic, pharmaceuticals, hospitalizations and outpatient specialist services databases has identified patients affected by only asthma, only COPD, asthma/COPD and UODs. From the less recent date of identification, each patient was analyzed in one previous year and in two years of follow-up (at most up to 12/31/2017). In the accrual period, in the previous one and in 2-year follow-up sinus polyps was researched. One-year free filled respiratory (ATC code R03) and concomitant prescriptions, outpatient specialist services, hospitalizations were described. Two-year costs were assessed annually. Results. In 2015, 110,453 subjects with asthma (16.6 x1000 ≥12 years old), 229,747 with COPD, 8828 with asthma/COPD (55.5 x1000 and 2.1 x1000 ≥40 years, respectively) and 75,072 with UODs (27.2 x1000 subjects aged 40 to 65) were selected. Sinus polyps was found in 753 patients with asthma, 181 with COPD and 122 with asthma/COPD. A very high use of inhaled corticosteroids – ICS (R03AB) as monotherapy and as fixed association ICS/LABA and of cardiovascular drugs was highlighted among patients with COPD and asthma/COPD. The spirometry test was used in 21.4% patients with asthma/COPD, in 9.2% with asthma, in 8.6% with COPD and in 5.8% with UODs. Subjects with COPD and asthma/COPD were the most frequently hospitalized, mainly due to respiratory and cardiovascular causes, and those with the longest in-hospital stay. On average, the mean overall one-year expenditure per COPD or asthma/COPD patient was three times higher than per asthma or UOD one (€3508/€3613 vs €942/€1394, respectively). Conclusions. Concomitant drugs and hospitalizations due to other causes than respiratory ones accounted for the highest expenses. In general, comorbidities and cardiopulmonary complications played a key role in obstructive airway disease managing and controlling, by determining unsustainable socio-economic impacts.

Key words. Big data, healthcare expenditure, Healthcare National System, healthcare resource consumption, obstructive airway diseases.

Introduzione e obiettivi

Tra i disturbi ostruttivi delle vie respiratorie si annoverano asma, broncopneumopatia cronica ostruttiva (BPCO) e la compresenza di alterazioni proprie dell’asma e della BPCO. Sia asma sia BPCO sono patologie molto eterogenee e ancora oggi a elevato impatto economico e sociale1,2. Entrambe sono malattie trattabili. Tuttavia, ancora molti pazienti non raggiungono il controllo completo dell’asma, che inevitabilmente evolve verso le forme più gravi3, e sono insufficientemente, erroneamente o tardivamente diagnosticati per BPCO, che si prepara a diventare la terza causa di morte al mondo4,5.

Migliorare la diagnosi porterebbe a raggiungere il controllo dei disturbi ostruttivi delle vie aeree, anche e soprattutto attraverso appropriate scelte terapeutiche. Allo stesso modo, sarebbero parallelamente auspicabili una gestione organizzativa dei pazienti e un utilizzo delle risorse sanitarie più accurati. Aumentare le conoscenze sulla reale pratica clinica risulta, quindi, di fondamentale importanza, poiché andrebbero a integrarsi con i dati degli studi clinici, dando una visione più ampia ed eterogenea della realizzazione dell’assistenza sanitaria6.

Questo studio real-world, basato sui database amministrativi, si è posto l’obiettivo di descrivere le caratteristiche demografiche e cliniche dei pazienti con asma, BPCO e con disturbi misti asma/BPCO e di valutarne il consumo di risorse sanitarie e costi assistenziali integrati dal punto di vista del Servizio Sanitario Nazionale (SSN).

Materiali e metodi

Il database RES

Ricerca e Salute (ReS) è una Fondazione no profit il cui principale obiettivo è di creare strumenti utili alla politica sanitaria ai fini della pianificazione e del monitoraggio, a differenti livelli e per differenti stakeholder, a partire dai real-world data sanitari. Il database ReS si compone degli stessi dati amministrativi sanitari che le autorità sanitarie locali o regionali inviano periodicamente al Ministero della Salute e che, sulla base di uno specifico accordo con alcune di esse, sono stati resi disponibili. Secondo tale accordo e per le finalità istituzionali di ReS, i dati sono anonimizzati alla fonte, in accordo alla normativa sulla privacy, e analizzati in forma aggregata. Per questi motivi, l’approvazione etica non è richiesta. Inoltre, la collaborazione con Cineca (Consorzio Interuniversitario) sulla conservazione e sui controlli del database garantisce il rispetto degli standard internazionali di qualità e sicurezza.

Il database ReS è composto da: tutti i farmaci rimborsati dal SSN ed erogati alla popolazione da parte delle farmacie territoriali e ospedaliere – attraverso i codici ATC (Anatomical Therapeutic Classification) della Organizzazione Mondiale della Sanità7, i codici di autorizzazione all’immissione in commercio, le dosi tramite posologia o DDD (Defined Daily Dose), le confezioni e la data di spedizione delle ricette –; dalle ospedalizzazioni nelle strutture pubbliche o convenzionate in regime ordinario e giornaliero – attraverso i codici ICD-9-CM (International Classification of Diseases 9th version)8 e i codici DRG (Diagnoses Related Group)9 presenti nella scheda di dimissione ospedaliera (SDO) –; dalle prestazioni specialistiche ambulatoriali (procedure diagnostiche/test invasivi e non) offerte in strutture pubbliche o convenzionate, secondo il nomenclatore nazionale in vigore10; codici di esenzione per patologie croniche; dati demografici anonimizzati. Inoltre, è possibile determinare il costo diretto sostenuto dal SSN per l’assistenza sanitaria, tramite la spesa farmaceutica (spesa lorda territoriale e spesa valorizzata al prezzo ospedaliero reale comprensivo di IVA per distribuzione diretta e per conto), ospedaliera (tariffario DRG), della specialistica ambulatoriale (tariffario nazionale) e l’integrazione delle precedenti.

Selezione della coorte

Tramite record linkage dei flussi amministrativi sanitari presenti nel database ReS dal 1° gennaio al 31 dicembre 2015, sono stati selezionati tutti i pazienti con disturbi ostruttivi delle vie respiratorie. Sulla base dell’età e mediante criteri basati sulla prescrizione di farmaci, sulle esenzioni e sulle ospedalizzazioni (per un dettaglio si rimanda alla tabella 1 del materiale supplementare), sono state definite 4 coorti: solo asma (età ≥12 anni), solo BPCO e asma/BPCO (età ≥40 anni) e sindromi ostruttive indefinite (SOI) che ha incluso i pazienti di età compresa tra 40 e 65 anni i cui criteri non potevano essere considerati specifici per nessuna delle precedenti patologie. All’interno di ciascun gruppo sono stati considerati solo gli assistibili valutabili nel follow-up, cioè coloro che hanno ricevuto almeno un’assistenza da parte del SSN fino alla fine del follow-up (31/12/2017). La data meno recente che ha permesso di identificare gli assistibili affetti da disturbi ostruttivi delle vie respiratorie, tra i criteri per asma, BPCO, asma/BPCO e SOI, ha costituito la data indice, a partire dalla quale ciascun paziente è stato osservato nell’anno precedente e fino a due anni di follow-up (al massimo 31/12/2017).

Caratteristiche epidemiologiche e cliniche

Le 4 coorti (solo asma, solo BPCO, asma/BPCO, SOI) sono state descritte per genere, età e prevalenza di patologia nel 2015. È stata anche individuata la presenza di poliposi nasale nel 2015, nell’anno precedente la data indice e nei due anni di follow-up, a partire dai codici di diagnosi ospedalieri ICD-9-CM 471.x (poliposi nasale) e 225.3 (incisione di seni multipli).

Analisi del consumo di risorse sanitarie
e dei costi

Nel primo anno di follow-up, i trattamenti farmaceutici sono stati analizzati in base alla distribuzione di pazienti per classe terapeutica, ai consumi (percentuale di persone all’interno delle coorti) e alla spesa media per paziente che ha ricevuto almeno un farmaco. In tutte le coorti sono state ricercate le dispensazioni di farmaci per i disturbi ostruttivi delle vie respiratorie (codice ATC: R03) e concomitanti (tutti gli altri ATC). Nell’anno di follow-up sono state svolte tutte le seguenti analisi. All’interno della coorte con asma, per l’identificazione dell’asma grave è stato svolto un focus sulle erogazioni di omalizumab, unico biologico rimborsato nel periodo in analisi (almeno una prescrizione di R03DX05). Per la coorte con solo BPCO sono state approfondite le dispensazioni di corticosteroidi inalatori - ICS (R03BA), di β2 agonisti a lunga durata d’azione - LABA (tra gli R03AC) e di anticolinergici a lunga durata d’azione - LAMA (tra gli R03BB) e le associazioni fisse tra questi (LABA/LAMA - R03AL e ICS/LABA - R03AK). Le prestazioni specialistiche ambulatoriali erogate, nello specifico le spirometrie, sono state analizzate in termini di utilizzatori, numero medio di prestazioni e spesa media pro capite. È stata descritta anche l’assistenza ospedaliera in regime ordinario (codici DRG), per cause di ricovero, in termini di ricoverati, giorni di degenza media e spesa media pro capite. Infine, tutte le coorti vengono analizzate sulla base del costo annuale assistenziale medio pro capite derivante dall’integrazione della spesa sostenuta dal SSN per l’assistenza farmaceutica, ospedaliera e di specialistica ambulatoriale, nel primo e nel secondo anno di osservazione.

Risultati

A partire da più di 7 milioni di abitanti nel database ReS per l’anno 2015, secondo i criteri come da tabella 1 supplementare, sono stati individuati 110.453 pazienti con solo asma (prevalenza 16,6 x1000 assistibili dai 12 anni), 229.747 con solo BPCO, 8828 con asma/BPCO (55,5 x1000 e 2,1 x1000 over 40, rispettivamente) e 75.072 con SOI (27,2 x1000 persone con età compresa tra 40 e 65 anni) (figura 1).




La coorte con solo asma presentava un andamento della prevalenza di patologia decrescente con l’età, mentre in quella con solo BPCO questa cresce con l’età. La prevalenza della condizione asma/BPCO aumenta dopo i 60-65 anni e raggiunge un picco tra i 66 e i 69 anni; anche le SOI presentano una leggera crescita con l’età (figura 2).




I pazienti con solo asma minorenni erano soprattutto maschi, mentre superati i 18 anni erano a maggiore prevalenza femminile (in media 54,4% della coorte ≥12 anni), come gli affetti da asma/BPCO (64,1%) e da SOI (55,5%). Al contrario, gli affetti da BPCO erano uomini per poco più della metà (50,2%).

Nell’anno di selezione, in quello precedente e nei due di follow-up, all’interno delle singole coorti, il 6,8 x1000 con solo asma, lo 0,8 x1000 con solo BPCO e il 13,8 x1000 con asma/BPCO hanno ricevuto una diagnosi di poliposi nasale o hanno subito un intervento di incisione di seni multipli. Da un confronto tra queste prevalenze per fascia d’età, i pazienti con asma/BPCO hanno presentato la maggiore frequenza, con un picco a 50-54 anni. In particolare, è stata individuata la maggiore presenza di poliposi nasale tra gli uomini per tutte le tre coorti e tra le persone in terapia con omalizumab nelle coorti con solo asma e asma/BPCO.

Durante il primo anno di follow-up, più del 90% di tutte le coorti ha ricevuto un farmaco rimborsato dal SSN. Al primo posto i farmaci per i disturbi delle vie respiratorie (R03), tra cui soprattutto ICS (in monoterapia al 37,5% dei pazienti con BPCO e al 6,5% con asma/BPCO), ICS/LABA (in monoterapia al 33,7% della coorte con asma/BPCO e al 14,6% con BPCO), LABA e LABA/LAMA, antagonisti leucotrienici (nelle coorti con solo asma e asma/BPCO). Omalizumab è stato dispensato almeno una volta allo 0,7% della coorte con asma/BPCO (soprattutto tra i 70 e i 79 anni), allo 0,2% di quella con solo asma. Tra gli altri farmaci, gli antibatterici per uso sistemico sono stati i più dispensati, insieme agli antistaminici ai pazienti con asma, agli antiacidi e farmaci per il sistema cardiovascolare alle coorti con BPCO e asma/BPCO e agli antinfiammatori/antireumatici alla coorte con SOI. In tutte le coorti, le donne sono state più trattate degli uomini. In media, ogni paziente con almeno un trattamento farmaceutico nell’anno di follow-up è costato €1457 e €1628 all’interno delle coorti solo BPCO e asma/BPCO, mentre €563 e €786 in quelle con solo asma e SOI. Nella coorte con asma/BPCO, il paziente al quale è stato dispensato almeno un farmaco per i disturbi ostruttivi delle vie respiratorie è costato mediamente di più (€633) di quelli delle altre coorti. In tutte le coorti, la maggiore spesa si è registrata per i farmaci concomitanti.

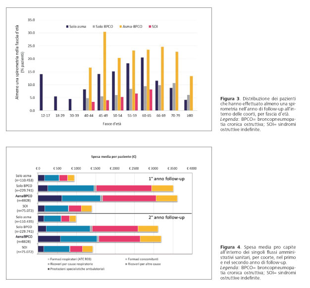
La coorte con asma/BPCO si è affidata soprattutto alle prestazioni specialistiche ambulatoriali nel primo anno di follow-up (90,7% pazienti sulla coorte) rispetto alle altre (88,1% solo BPCO, 67,7% SOI, 61,9% solo asma). Ha anche presentato un maggiore ricorso alla spirometria, effettuandone almeno una sul 21,4% della coorte, rispetto al 9,2% dei pazienti con asma, all’8,6% con BPCO e al 5,8% con SOI. Tale prestazione è stata svolta soprattutto dai 45 ai 79 anni con picchi diversi a seconda della malattia respiratoria (figura 3), mentre per tutte le coorti, più frequentemente tra gli uomini. Visite specialistiche e analisi chimico-cliniche e microbiologiche sono state le prestazioni più erogate. Il costo medio per l’assistenza specialistica ambulatoriale per paziente con solo BPCO e asma/BPCO è risultato più elevato (€560 e €551) della persona con solo asma (€174) e SOI (€271).

In un anno di follow-up, i pazienti con solo BPCO e con asma/BPCO sono stati più ospedalizzati (22,4% e 21,1%), rispetto agli asmatici (5%) e alla coorte con disturbi indefiniti (6%). Essi hanno registrato anche una degenza media più lunga (circa 10 giorni vs 6,5 in caso di asma e 8 in caso di SOI) e hanno determinato le spese medie per ricoverato più alte (€6406 solo BPCO e €6420 asma/BPCO vs €3804 solo asma e €4966 SOI). La prima causa di ricovero è stata per tutti “edema polmonare e insufficienza respiratoria” (DRG 087), determinando l’ospedalizzazione di circa il 3% delle coorti con BPCO e asma/BPCO e dello 0,2-0,3% delle coorti con asma e SOI, rispettivamente. In generale, i pazienti con BPCO e asma/BPCO sono stati ricoverati soprattutto per problematiche delle vie respiratorie (insufficienza, ostruzione e infezioni) e del sistema cardiovascolare (insufficienza cardiaca).

L’analisi dei costi assistenziali integrati annuali ha evidenziato che i pazienti con BPCO e asma/BPCO hanno determinato un carico assistenziale e un impatto economico circa 3 volte quelli delle altre coorti, sia nel primo che nel secondo anno di follow-up (figura 4).




Per tutte le coorti (tranne BPCO nel primo anno di follow-up), il peso maggiore è dovuto alla farmaceutica, la cui spesa è determinata per più del 60% da farmaci diversi da quelli per i disturbi ostruttivi delle vie respiratorie, in entrambi gli anni. Per i pazienti con BPCO e asma/BPCO le ospedalizzazioni hanno pesato più che nelle altre coorti (35%-40% vs 23% circa), ma per tutti più del 95% della spesa per i ricoveri ospedalieri è stata imputata a cause diverse da quelle di tipo respiratorio (DRG diversi da 075-102, 565 e 566).

Discussione

L’analisi ha descritto la popolazione italiana nel 2015 con disturbi ostruttivi delle vie respiratorie. La caratterizzazione per genere e fasce d’età conferma quanto già riportato in letteratura. Primo tra tutti, l’asma affligge maggiormente l’età pediatrica in cui è predominante tra i maschi (51,7 M vs 35,5 F x1000), per poi diventare più frequente tra le donne adulte (30,1 F vs 27,8 M x1000 già nella fascia 18-29 anni), che presentano anche le forme più severe11. Per i pazienti con BPCO e asma/BPCO l’analisi parte dai 40 anni, in linea con l’età media di diagnosi di BPCO individuate anche dagli studi clinici12, e le prevalenze presentano un chiaro trend in crescita con l’età, come riportato dagli stessi trial. I risultati di questa analisi si possono ragionevolmente considerare attendibili, grazie a un elevato livello di rappresentatività della popolazione italiana all’interno del database ReS, testimoniato dalla quasi completa sovrapponibilità della distribuzione per fascia d’età con i dati ISTAT (Istituto Nazionale di Statistica) per il 2015 (figura 1 supplementare)13. Tuttavia, occorre considerare che le stime di prevalenza delle singole coorti hanno inevitabilmente risentito della scelta dei criteri di selezione e che le analisi dei database amministrativi sanitari, che intercettano solo gli assistiti dal SSN, tendono a individuare i malati più gravi. In particolare, tra i criteri adottati in questo studio sono stati previsti ospedalizzazioni, uso di anticorpi monoclonali e compresenza di poliposi nasale, tutte condizioni che definiscono uno stadio di gravità maggiore3,4,14. Inoltre, il confronto delle stime di prevalenza dei disturbi respiratori risulta complicato e scarsamente indicativo se queste derivano da studi basati su diverse fonti e diversi algoritmi di identificazione1. Infine, i sintomi delle patologie considerate sono spesso aspecifici e difficilmente comunicabili, soprattutto nella fascia pediatrica e tra i pazienti con BPCO la cui consapevolezza e conoscenza è ancora molto scarsa5,11, ed è facile confondere i disturbi tra di loro da parte sia della popolazione sia dei medici stessi.

Dall’analisi dei farmaci erogati nell’anno di follow-up si evidenzia tra i pazienti con BPCO un uso elevato di ICS in monoterapia, indice di possibili inappropriatezze prescrittive, e dell’associazione fissa ICS/LABA. Entrambe le evidenze erano già state documentate in un precedente studio sui pazienti con BPCO1. Inoltre, la bassa percentuale di pazienti trattati con omalizumab nella coorte con solo asma indica presumibilmente un uso appropriato e secondo le indicazioni. Il farmaco risulta, infatti, indicato nelle seguenti condizioni gravi e restrittive: «[…] per migliorare il controllo dell’asma in pazienti con asma allergico grave persistente […] e in pazienti con documentate esacerbazioni asmatiche gravi ripetute […] per il trattamento di adulti (età pari o superiore a 18 anni) con rinosinusite cronica con polipi nasali grave per i quali la terapia con i corticosteroidi intranasali non fornisce un controllo adeguato della malattia»15. Tuttavia, il suo uso si ritrova anche nelle coorti miste e ciò può essere giustificato dagli algoritmi di selezione delle coorti che risentono dell’uso dei dati amministrativi e della loro non specificità assoluta, ma può anche generare un segnale di inappropriatezza prescrittiva. Tra l’uso di farmaci concomitanti sono da notare le numerose erogazioni di quelli indicati per le malattie cardiovascolari all’interno delle coorti con BPCO e asma/BPCO, rispetto alle altre. Il legame tra BPCO e malattie cardiovascolari è ormai appurato, ma meriterebbe ulteriori approfondimenti anche attraverso studi real-world16.

Come ci si attendeva, la compresenza di poliposi nasale è maggiore nei pazienti con asma, rispetto a solo BPCO e asma/BPCO. L’individuazione della comorbilità risente dei criteri di selezione dei pazienti asmatici, ma permette di quantificare i casi più complessi. Difatti, la poliposi nasale si presenta insieme a sinusite cronica che a sua volta può essere caratterizzata da infiltrazione eosinofila predominante nei tessuti sinusali e associarsi ad asma grave e a una prognosi complessivamente peggiore che in assenza di infiltrazione concomitante17. In tutti gli studi sui disturbi respiratori sarebbe utile dettagliare maggiormente la compresenza di poliposi nasale, al fine di aggiungere informazioni in questo campo ancora poco analizzato.

Dall’analisi delle prestazioni specialistiche ambulatoriali, ancora una volta si conferma lo scarso utilizzo della spirometria nel processo di diagnosi della BPCO1,5, ma anche tra la popolazione asmatica. Per effettuare una corretta diagnosi di asma, BPCO e delle condizioni riconducibili a entrambe le patologie, è necessario integrare i sintomi riportati dal paziente con test di funzionalità polmonare. Risulta, quindi, di fondamentale importanza richiamare l’attenzione della classe medica sul corretto uso della spirometria, in accordo con le raccomandazioni delle principali linee guida internazionali3,4, permettendo l’appropriata diagnosi, le migliori scelte terapeutiche e il reale controllo della malattia.

Nell’anno di follow-up i pazienti con BPCO e asma/BPCO sono stati maggiormente ricoverati, a riprova del fatto che la qualità di vita di tali pazienti è a oggi molto bassa5. Inoltre, le cause più frequenti di ospedalizzazione, dopo quelle respiratorie, sono state di tipo cardiovascolare, soprattutto insufficienza cardiaca, rinforzando le evidenze del legame tra BPCO e queste patologie16.

Dall’analisi si evince che le persone affette da disturbi ostruttivi delle vie respiratorie abbiano richiesto una maggiore assistenza da parte del SSN in presenza di complicazioni cardiopolmonari, esacerbazioni delle patologie in oggetto, lunghe degenze ospedaliere e comorbilità, determinando anche i costi più elevati. In generale, i pazienti con BPCO e asma/BPCO hanno pesato maggiormente sul SSN, rispetto agli asmatici e agli indefiniti. Tuttavia, mentre il divario tra impatto della farmaceutica e delle ospedalizzazioni era netto per asma (in linea con una recente revisione sistematica11) e SOI, le due percentuali di costo sulla spesa totale si sono avvicinate per BPCO e asma/BPCO; fenomeno che era già stato portato alla luce da un precedente studio1 e che sarebbe interessante indagare ulteriormente. Queste differenze mostrano chiaramente come non si possa prescindere dall’impatto integrato dell’assistenza al paziente con disturbi ostruttivi delle vie respiratorie. Infatti, nonostante gli algoritmi di identificazione possano aver selezionato le persone in condizioni di maggiore severità, per la coorte con solo asma il costo elevato di omalizumab risulta bilanciato da eventi e/o condizioni concomitanti, determinando una spesa media complessiva pro capite di €563. Anche la spesa media totale di un paziente con BPCO o con asma/BPCO (€1457 e €1628) appare influenzata ampiamente da quella dovuta a condizioni concomitanti alla malattia in analisi. Nel complesso, l’impatto delle comorbilità si mostra predominante sia sui ricoveri ospedalieri sia sui consumi farmaceutici, dimostrando come sia urgente agire sulla prevenzione e sul controllo dei disturbi ostruttivi respiratori, per non intaccare altre funzionalità e non impattare eccessivamente sulla richiesta di assistenza. Tali evidenze sono corroborate dai sostanziali contributi alla spesa totale da parte dei farmaci concomitanti (più del 60% della spesa farmaceutica) e delle ospedalizzazioni per disturbi non respiratori (più del 95% dei costi per i ricoveri), che mostrano come i costi maggiori si siano registrati in presenza di condizioni concomitanti ai disturbi considerati nell’analisi. Infatti, si stima che il costo totale per l’assistenza sanitaria dei pazienti con malattie respiratorie in Europa sia attorno agli 800 miliardi di euro, di cui poco più del 6% sarebbe determinato dai soli costi diretti5.

Conclusioni

Le analisi real-world sulla popolazione con disturbi ostruttivi delle vie respiratorie sono utili per apprezzare l’impatto di queste patologie sul SSN e confrontarlo con altre malattie croniche nella pratica clinica quotidiana, al fine di allocare le risorse economiche e sanitarie nel modo più lungimirante possibile. Inoltre, per raggiungere il migliore controllo dei disturbi delle vie aeree e ridurne il burden a lungo termine, sarebbe auspicabile attuare una governance multidimensionale, coordinata e paziente-centrica, coinvolgendo direttamente i medici e la popolazione attraverso efficaci campagne di informazione.

Take home messages.

I disturbi delle vie respiratorie sono malattie a elevato impatto socio-economico, poiché scarsamente controllate e a rapida evoluzione nelle forme più gravi, a causa della loro sottostima, della difficoltà e dell’imprecisione nella diagnosi e del frequente uso inappropriato delle terapie mediche.

Nonostante l’eterogeneità dei disturbi respiratori, il ricorso al SSN per cause diverse da quelle respiratorie ha determinato il maggiore impatto economico per i pazienti affetti da tali malattie. Tale fenomeno si evidenzia soprattutto nel consumo di farmaci per la gestione di comorbilità acute e croniche (oltre il 60% delle coorti).

In merito all’accertamento diagnostico, l’analisi indica il notevole sotto utilizzo della spirometria e come questa indagine potrebbe rappresentare un punto di miglioramento nell’identificazione e nel follow-up dei pazienti affetti da patologie respiratorie.

L’analisi dei costi assistenziali integrati ha mostrato un carico assistenziale e un impatto economico dei pazienti con BPCO e asma/BPCO di circa 3 volte quello registrato per i pazienti affetti dagli altri disturbi ostruttivi in esame, evidenziando come questi pazienti abbiano tra di loro caratteristiche e bisogni assistenziali differenti e determinino difformi costi a carico del SSN.

Funding: questo studio è stato condotto con il sostegno di AstraZeneca.

Conflitto di interessi: gli autori dichiarano l’assenza di conflitto di interessi.

Bibliografia

1. Calabria S, Ronconi G, Dondi L, et al. Open triple therapy for chronic obstructive pulmonary disease: patterns of prescription, exacerbations and healthcare costs from a large Italian claims database. Pulm Pharmacol Ther 2020; 61: 101904.

2. Pedrini A, Rossi E, Calabria S, et al. Current management of severe refractory asthma in Italy: analysis of real-world data. Global & Regional Health Technology Assessment: Italian; Northern Europe and Spanish 2017; 4.

3. GINA. Global strategy for asthma management and prevention. 2020.

4. Vogelmeier C, Agustí A, Anzueto A, et al. Global initiative for chronic Obstructive Lung Disease (GOLD). 2020 Report..

5. López-Campos JL, Tan W, Soriano JB. Global burden of COPD. Respirology 2016; 21: 14-23.

6. Vestbo J, Janson C, Nuevo J, Price D. Observational studies assessing the pharmacological treatment of obstructive lung disease: strengths, challenges and considerations for study design. ERJ Open Res 2020; 6: 00044-2020.

7. WHO. ATC/DDD Index 2020. Disponibile su: https://www.whocc.no/atc_ddd_index/ [ultimo accesso 10 febbraio 2021].

8. Ministero del Lavoro, della Salute e delle Politiche Sociali. Classificazione delle malattie, dei traumatismi, degli interventi chirurgici e delle procedure dagnostiche e terapeutiche. Versione italiana della ICD-9-CM, 2007.

9. Ministero della Salute. Ricoveri ospedalieri. Principali caratteristiche dei DRG. Disponibile su: https://bit.ly/3qqf4Ij [ultimo accesso 10 febbraio 2021].

10. Ministero del Lavoro, della Salute e delle Politiche Sociali. Nomenclatore prestazioni di assistenza specialistica ambulatoriale. Allegato 4. DPCM 12 gennaio 2017.

11. Loftus PA, Wise SK. Epidemiology and economic burden of asthma. Int Forum Allergy Rhinol 2015; 5 Suppl 1: S7-10.

12. Soriano JB, Polverino F, Cosio BG. What is early COPD and why is it important? Eur Respir J 2018; 52: 1801448.

13. Istituto Nazionale di Statistica. Geo DEMO Istat - Popolazione residente 2015. Disponibile su: http://demo.istat.it/pop2015/index.html [ultimo accesso 10 febbraio 2021].

14. Wu TD, Brigham EP, McCormack MC. Asthma in the primary care setting. Med Clin North Am 2019; 103: 435-52.

15. Agenzia Italiana del Farmaco. Allegato I. Riassunto delle caratteristiche del prodotto. Omalizumab. 2020.

16. Morgan AD, Zakeri R, Quint JK. Defining the relationship between COPD and CVD: what are the implications for clinical practice? Ther Adv Respir Dis 2018; 12: 1753465817750524.

17. Fadda GL, Galizia A, Galizia G, Castelnuovo P, Bignami M, Cavallo G. Multiparametric analysis of factors associated with eosinophilic chronic rhinosinusitis with nasal polyps. Ear Nose Throat J 2020: 145561320960357.